Running Endurance – Women vs. Men

by Doug Stewart

In 2021 a paper was published discussing whether women have a physiological advantage in ultra-endurance sports. Overall, the authors suggest that there are certain traits that would provide an advantage to female athletes, but that these qualities only manifest themselves during extreme distance events. Moreover, there are certain traits of males that provide a greater benefit in performance, meaning it is unlikely that the fastest female athletes would be faster than the fastest male athletes. However, we know that in certain races females have won the event outright, or hold course records, so it is not 100% the case that women would not perform better than men.

A paper published this week took this investigation one step further, assessing real world data and compare female and male runners. The data set was substantial, taking 1,881,070 unique runners from 38,860 trail running races between 1989 and 2021. Races took place in 221 countries, and it allowed 7,251 pairs of women and men with the same relative level of performance to be used in the research.

To do this grouping, the researchers took a percentage of the winner’s time and then compared short races (25km to 45km) with longer races (45km to 260km) and grouped the runners into 4 groups based on quartiles.

Each group had the same number of female and male runners (with the smallest grouping having 1755 female and 1755 male runners, and the largest group having 1912 runners of each sex).
More details can be seen below on the characteristics:

Table 1: Main characteristics of the subjects. Source: Le Mat et al., 2023

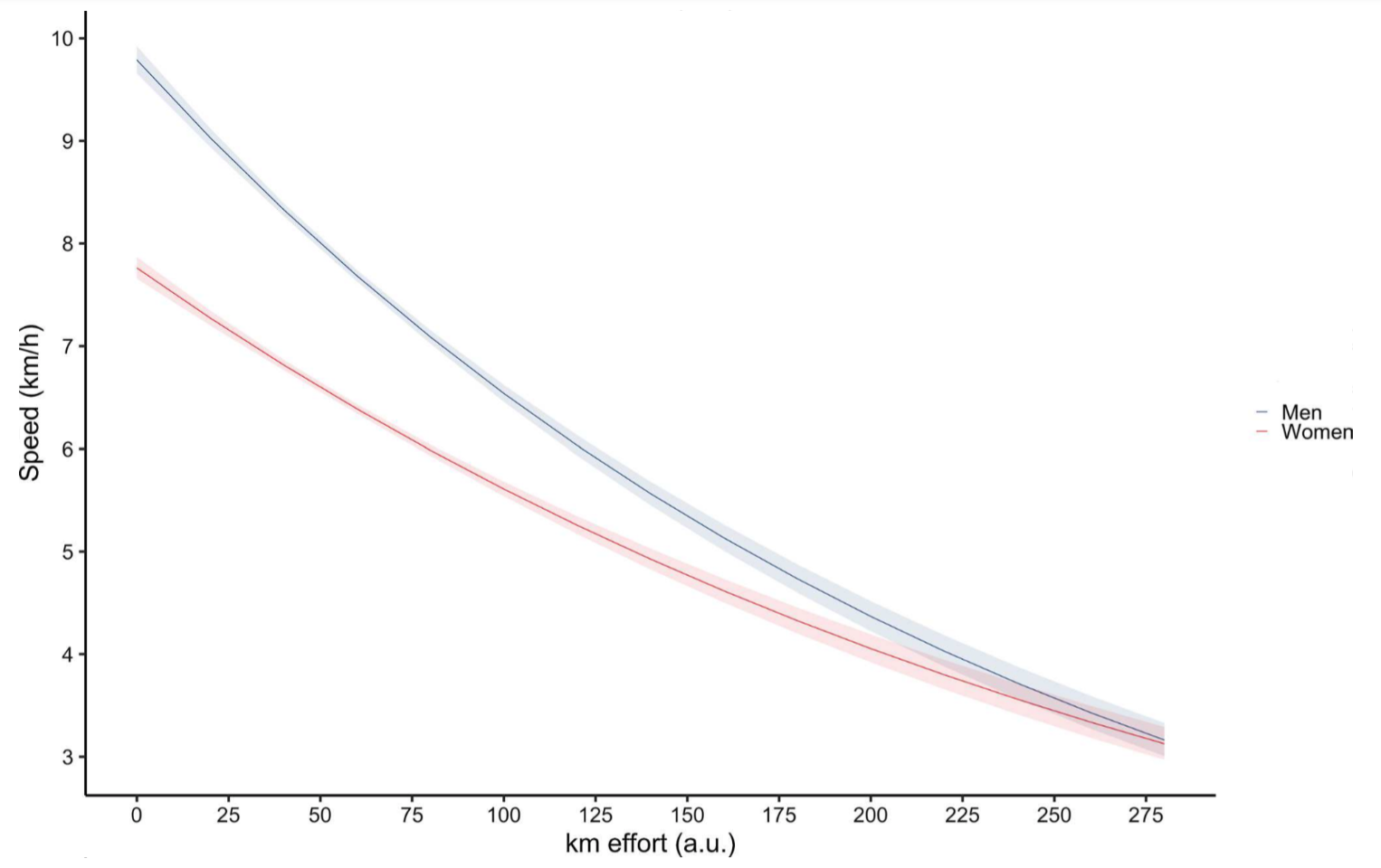
Looking at the times over various race distances, it is clear that, as the race distances increase, the gap between male and female runners reduces:

Figure 1: Sex effect on the speed evolution in function of the km-effort distance. Source: Le Mat et al., 2023

This confirms the earlier paper by Tiller et al., and also what is discussed anecdotally, that the longer the race the smaller the gap between men and women. On average, the speed of women decreased by 3.25% for every 10km distance increase in the race, whilst men’s speed decreased by 4.02% comparatively. However, this represents an average across all performance levels which, although of interest, does not reveal the full picture.

What this paper discovered is that this closing of the gap varies by level of performance. As can be seen in Figure 2, the gap remains larger the higher the level of the athlete (higher UTMB Index). With L1 in Table 1 = Q1 below.

Figure 2: Sex effect on the speed evolution in function of the km-effort distance and performance. Source: Le Mat et al., 2023

As can be seen, in the Q3(L3) group the gap disappears and in the Q4(L4) group for the longer races women are out performing men. For the very highest level, such as François D’Haene and Courtney Dauwalter at UTMB 2021, the difference is actually very rarely below 8% - so even with L1 group here, if they made an even smaller top level of elite runners, it is likely that the gap would remain larger between them. Therefore, the level of performance must be considered when comparing men and women as it appears to have an influence on the gap between their speed.
 
The authors also highlight that their results cannot be used to consider races longer than 260km, as the number of finishers in longer events is very low, making the approach adopted here (pairing runners of similar abilities) very hard to do, so the results cannot be extrapolated to longer distances.
 
Overall, it appear though that, for most runners, when a race is around 260km in distance the gap between men and women will disappear, unless you are in the top quarter of performers.


References:

Le Mat, F., Géry, M., Besson, T. et al. Running Endurance in Women Compared to Men: Retrospective Analysis of Matched Real-World Big Data. Sports Med (2023).

Tiller, N. B., Elliott-Sale, K. J., Knechtle, B., Wilson, P. B., Roberts, J. D., & Millet, G. Y. (2021). Do sex differences in physiology confer a female advantage in ultra-endurance sport?. Sports Medicine51, 895-915.

Previous
Previous

The impact of carbon plated running shoes on Injury Rates and Uphill Running Performance

Next
Next

Relative Energy Deficiency in Sport (RED-S) – The IOC Consensus